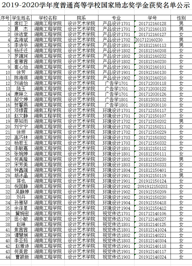
根据学校《校教字[2016]41号 2138CC太阳集团学生奖学金评定及管理条例》、《校教字[2014]51号 2138CC太阳集团学生综合素质测评办法(修订)》及《2138CC太阳集团国家励志奖学金评定及管理条例》(校教字〔2016〕43号)等文件精神和要求,2138CC太阳集团认真组织、安排国家励志奖学金的评审工作,制定奖学金评审细则,并要求各班成立以班主任为组长的7人评审小组负责本班学生的奖学金评审工作。2138CC太阳集团坚持公开、公平、公正的原则,实行等额评审,经学生工作办公室审核,党政联席会议审定,评选出励志奖学金44人。具体名单附后。公示时间为2020年11月9日到11月13日,公示期五天,如有异议,请与学办联系。
联系人:刘琤老师、娄申老师
联系电话:0731-58680342
